本文将拆解,瑷尔博士如何成为国内品牌入局皮肤微生态领域的样板案例。
来源 | 聚美丽
作者| Ada
“真理往往掌握在少数人手中。”这句我们时常会听到的话,据说出自列宁。
从众,是大众心理学中最常见的表现。大多数人都走的路,想必一定是风险较低、安全有保障的。这种心态折射在品牌创业者身上时,他/她们的选择通常是在一个市场成熟度较高的领域,选一个消费者教育成本不高的细分定位,传达比较容易听懂的品牌或产品故事,在“稳健风格”中打下从0到1的品牌地基。
不过,也有一些新锐品牌中的“少数者”,自品牌定位开始,就没有选择较为成熟、安全的市场范围,而是选择去走一条未知曲折的羊肠小道。或许,这条路未来很可能会成为康庄大道,但当下的前行却是尤为不易的。
放眼望去,在目前国内靠前的新锐品牌中,Dr.Alva瑷尔博士就是这样的一个“少数者”。

△瑷尔博士
瑷尔博士成立于2018年,是山东福瑞达生物股份有限公司旗下的护肤品牌。虽然品牌成立还未满5年,但据悉,其2021年的销售额已接近10亿元。
作为 国内首个明确将重心放在专研中国人皮肤微生态的品牌,可以说,瑷尔博士以新锐品牌的现有段位,正在做以往国际品牌才有实力去切入的市场。
关于微生态的研究,可以追溯到1977年德国学者VolkerRush提出微生态学的概念。而后,微生态学出现了100多个分支,皮肤微生态包括在内。目前在皮肤医学界,对于皮肤微生态的研究处于初级阶段,菌群变化与不同皮肤问题之间的关联,有很多未知等待科研人员去探索。
基于这个背景,在护肤领域中,不论是研究的成熟度,还是消费者的认知度,相比其他方向如保湿、美白、抗衰老、祛痘、皮肤屏障修护等而言,“微生态护肤”还是个很新的理念。所以,从客观条件上看,皮肤微生态并不适合新品牌下场。
跨国公司对皮肤微生态展开研究的时间很早,比如欧莱雅在2004年启动该领域的研究课题,强生于2008年开始布局相关临床研究。2015年-2016年,资生堂和宝洁也先后入局,或发布皮肤微生态的研究成果,或注册含有益生元的护肤品专利。不过,在市场宣传上,大约到2019年8月兰蔻第二代小黑瓶问世的时候,以欧莱雅为代表的跨国公司才开始向消费者广泛传达“微生态护肤”的理念。
当下,随着这几年的市场教育和品牌推广,在诸多护肤理念中,微生态护肤的热度越来越高。在聚美丽主办,福瑞达&瑷尔博士、中国中西医结合学会皮肤性病专业委员会联合主办的第三届皮肤微生态大会上,福瑞达生物股份有限公司副总经理&技术负责人杨素珍表示, 2022年微生态护肤的市场规模将达到1065亿元,近五年增长率10%以上,总体表现出高增长的趋势。而且,根据美丽修行的调研显示,有76%的消费者愿意尝试微生态护肤品。
微生态护肤的市场需求持续增长,对于入局这条细分赛道的品牌而言当然是令人鼓舞的一个趋势。
从品牌创立时间来看,对比国际品牌如兰蔻、理肤泉、薇姿、艾惟诺等,瑷尔博士是挺年轻的。但事实上,因为背靠福瑞达生物股份“这棵大树”,瑷尔博士进入皮肤微生态领域的基础也并非为零。根据公开资料显示,福瑞达生物股份成立至今已有24年。杨素珍曾对聚美丽记者表示,福瑞达最早关于微生态的研究是从益生菌发酵成分开始的,之后逐渐发展到皮肤微生态方向。
那么, 作为新锐品牌中的“少数者”,瑷尔博士是怎么通过微生态护肤这条路径,一路飞奔到接近10亿元俱乐部的?其品牌增长的内生动力源泉是什么?这种能力体系又是如何搭建起来的?下面,我们就来尝试拆解一下。
聚美丽2022年度大会现场,福瑞达生物股份有限公司副总经理、瑷尔博士创始人白天明在谈到瑷尔博士的“终身价值”规划时,分享了他对建立整个科研体系的思考。
瑷尔博士的科研结构可分为4块:基础研究体系、创新研究体系、应用研究体系,以及功效评价体系。这4个体系合在一起,就支撑起瑷尔博士对“中国皮肤微生态科学护肤平台”的构建。
科学的逻辑链路,是发现问题、找到问题核心、出具解决方法。瑷尔博士的产品研发也是遵循这条链路,一以贯之。

基础研究体系:专研中国人的皮肤微生态
2018年-2019年,是皮肤微生态概念在中国兴起的阶段。 福瑞达生物股份瑷尔博士研发总监李燕曾表示,目前,国内外针对皮肤健康影响因素的基础研究较少,特别是对中国人皮肤健康状态与皮肤微生态相关性的基础研究,更是趋近于零。
对此,2019年底, 瑷尔博士与上海应用技术大学筹划实施并完成了“皮肤微生态与皮肤生理参数相关性”的数据库建设,展开对中国人的皮肤微生态基础研究。
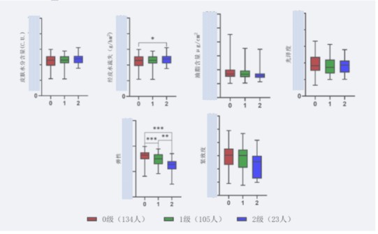
据介绍,这项研究面向超过500名中国人,以《赫尔辛基伦理宣言》(涉及人体医学研究的理论准则)为准则,通过问卷调查、人体微生物组学、人体皮肤生物物理参数测定等方式, 揭示了中国人群的皮肤微生态与衰老皮肤、熬夜人群、敏感性皮肤、黄褐斑皮肤等之间的相关性。
在熬夜人群方向上,福瑞达研究团队发现,熬夜会导致皮肤含水量、紧致度的降低,经皮水份流失率升高,皮脂含量增加。同时,熬夜会影响皮肤的微生物多样性,物种总数、独有和共有的物种数总体降低。其中,假单胞菌和丙酸杆菌的丰度有所增加,而奈瑟氏球菌、链球菌的丰度下降。
研究团队表示,基于这个结果推测,皮肤上的一些常驻菌如丙酸杆菌和葡萄球菌属,与皮肤生理参数之间是有关联的。比如,假单胞菌丰度对应皮肤紧致度F4值、链球菌对应含水量、丙酸杆菌对应皮脂分泌量等都呈现出正相关,即 熬夜可能会带来皮肤菌群的变化,从而影响到皮肤生理参数,乃至皮肤状态。
对此,研究团队曾在《Clin Cosmet Investig Dermatol》期刊(CCID)上发表文章《Regular Late Bedtime Significantly Affects the Skin Physiological Characteristics and Skin Bacterial Microbiome》。
而关于衰老皮肤和皮肤微生物群的相关性研究,杨素珍曾在第二届中国皮肤科学百人论坛暨皮肤微生态大会上进行分享。
她表示,通过比较25/32/46三个年龄段共262例健康女性不同衰老程度的面部生理指标,将受试者分为无皱纹组、有皱纹组、有显著皱纹组。研究发现,随着皮肤皱纹的增加,皮肤角质层水合度、皮脂量呈现减少趋势,无皱纹组的皮肤弹性明显高于有皱纹组和有显著皱纹组。

△262例健康女性不同衰老程度的面部生理指标
在皮肤微生物多样性分析中,福瑞达研究团队发现, 皮肤衰老会影响皮肤微生物菌群的丰度。比如,在细菌属水平上,随着皱纹增加,丙酸杆菌属丰度降低,奈瑟氏球菌属等其他菌属丰度升高,均具有显著差异。
“此次相关性研究,首次发现了皮肤紧致度、弹性与某些皮肤特殊‘菌群’之间的关系。这项成果能够指导相关益生元、后生元等成分的筛选,为抗衰老产品的研发提供思路。”李燕说道。
关于这项研究,他们在《Acta Biochimica et Biophysica Sinica》期刊(ABBS)上发表了文章《Alterations of Chinese women’s skin microbiota associated with the aging process》。
杨素珍介绍, 福瑞达研究团队对皮肤菌进行了分离、鉴定,建立了一个功能性皮肤菌菌种的资源库,拥有1000+皮肤菌菌株,以及200+株“益肤菌”等资源。
由此可见,这个基础研究体系及皮肤菌菌种资源库的建立,为瑷尔博士后续原料的筛选及应用和产品研发奠定了坚实的基础。
创新研究体系:研发独家专利成分
2021年4月,瑷尔博士对外发布了 与齐鲁工业大学共同研发的独家专利成分“益生菌发酵褐藻”。据悉,褐藻是一种护肤品研究和添加使用最多的高级藻类,在功效上,褐藻具有保湿、修复等作用。还有研究表明,褐藻可以一定程度上预防日晒导致的皮肤癌,提高机体免疫。
在经过益生菌菌株筛选和发酵条件优化后,瑷尔博士采用了 双菌双株发酵技术(也是国内首创),将暹罗芽孢杆菌和植物乳杆菌双重发酵,通过生物酶转化系统,保留益生菌的有益代谢产物,并获得分子量更小的褐藻成分,比如褐藻多糖、岩藻糖、谷胱甘肽等物质。

△图片来自瑷尔博士
据介绍, 益生菌发酵褐藻在研究中表现出非常好的抗氧化效果。体外实验结果显示,0.2mg/ml褐藻发酵提取物的清除自由基能力与1mg/ml维C相当,同时在全皮细胞模型上,它还表现出促进IV胶原蛋白合成的功能。
此外,值得关注的是,益生菌发酵褐藻对微生物菌群的结构也有改善作用,其能够促进表皮葡萄球菌的增殖,抑制金黄色葡萄球菌的增殖,有助于维持皮肤微生态的动态平衡。
应用研究体系:以组方思维打造产品
杨素珍表示, 瑷尔博士在皮肤微生态护肤产品开发上,主要考虑3个方面:1)维护皮肤菌群平衡;2)改善皮肤菌群微环境;3)选择对皮肤微生态友好的原料和防腐体系,最大化地维持皮肤微生态良好环境。
在产品的升级迭代上,瑷尔博士迄今阶梯式的推出了不同的产品系列:益生菌水乳系列、酵萃水乳系列,以及今年3月份的新品“闪充精华”(酵萃精研肌律御时精华露)。每一款产品的研发过程,都立足于瑷尔博士对于专利成分、核心组方的打造与沉淀。
核心单品 益生菌水乳系列,是基于对熬夜人群研究开发的微生态护肤产品。按照微生态友好的理念和平衡菌群的思路,产品中添加了独家的“益生平衡科技”。据悉,其中成分包括:酵母菌属/木醋杆菌/红茶发酵产物、乳酸杆菌/豆浆发酵产物滤液、硅烷化透明质酸、菊粉、α-葡聚糖寡糖等。

△益生菌水乳系列
据瑷尔博士介绍,“益生平衡科技”能够促进益生菌在一定程度上的增殖,抑制有害菌生长,恢复皮肤菌群平衡,并且最大限度维持皮肤上各种益生菌组的活性,修护皮肤屏障,提升皮肤免疫力。

△益生平衡科技
而 酵萃水乳系列,则是以衰老皮肤和皮肤微生物群的相关性研究为基础进行产品研发,主打抗初老,宣称具有维护皮肤屏障、改善衰老皮肤菌群结构、改善皱纹、增强皮肤紧致度等作用。

△酵萃水乳系列
其产品配方中,除了含有奥婷敏、益生元、硅烷化透明质酸之外,还添加了独家专利成分益生菌发酵褐藻,用以改善皮肤微生态环境,强化皮肤屏障。同时添加复合多肽等皮肤微生态友好的原料成分,起到促进胶原蛋白合成、祛皱的效果。
“闪充精华”在专利成分的组方应用上则“更上一层楼”,复配了10种专利成分,包括:益生菌发酵褐藻、硅烷化透明质酸、奥婷敏、SYMRELIEF 100、β-葡聚糖、生态营养液、GP4G SP、透明质酸钠、玉肌灵等。

△“闪充精华”
产品通过3大组方来发挥作用:促循环组方Bio-Micropump肌源修光技术,以Micropump肝素钠、七叶树、橘皮苷等成分,增强皮肤活性;修护组方Bio-Microrepair屏障微盾科技,通过奥婷敏、益生元,促进常驻菌群的平衡,让衰老皮肤紊乱的微生态达到平衡健康的状态;以及超维拟肤抗衰科技,以乙酰基六肽-1、益生菌发酵褐藻成分为主,隐退静态纹、预防动态纹。
据白天明介绍,“闪充精华”首发上市3个月,销售额就突破千万,并入围了“天猫TOP100趋势新品”,是一款很成功的明星单品。
功效评价体系:菌群变化成为重要指标之一
目前,在国家药监局规定的人体功效评价试验中,还没有皮肤微生态相关的项目。那么,瑷尔博士是怎样证明产品功效的呢?皮肤菌群的变化是一个重要的数据。
比如,益生菌水乳系列在第三方检测结果中显示,熬夜人群试用产品28天后,皮肤菌群中的优势物种(即丙酸杆菌属)的丰度下降,使其它物种的丰度更均匀,使物种多样性增加,这说明该产品能够促进皮肤微生物菌群的平衡。同时,产品对经皮水分流失和屏障修护也具有改善作用。
酵萃水乳系列也进行了功效评价试验,在志愿者试用产品后,对面部皮肤的微生物菌群做测试与分析。结果显示,使用7天后,受试者的面部细菌群落组成及丰度有了显著性变化,丙酸杆菌属的丰度显著提升,青枯菌属及鞘氨醇单胞菌属的相对丰度则显著降低。
而且,第三方测试结果还显示,受试者使用28天后,产品具有明显的祛皱效果、使用56天,其皮肤皱纹SEw、细纹评分、细纹长度、细纹计数和皮下红区颜色 a 值均显著降低,其中细纹减少了约19.8%。

△图片来自瑷尔博士
“闪充精华”也有百人参与功效评价试验,测试结果显示,使用4周后,表现出抗皱(眼角细纹平均深度-10.3%)、紧致(皮肤弹性+11.9%)、舒缓(面部红区-4.1%)等作用;而使用8周后,具有保湿(皮肤水分含量+22.7%)、修护屏障(皮肤水分散失+11%)等作用。
综上所述, 从对皮肤微生态的基础研究,到独家专利生物发酵成分的创新研究,再到各项专利成分形成科学组方的应用研究,最后通过功效评价来证明产品效果。瑷尔博士在其母公司福瑞达生物股份的支持下,建立起了一套完整的科研体系,而且 走通了皮肤问题-自主原料-配方技术-功效评价这条链路。
白天明表示,瑷尔博士除了在内部打造专属于微生态的科研体系之外,还很注重外部如专家、皮肤科医生、高校教授、KOL/KOC、媒体机构的联合参与,进行不断赋能。
比如,2020年,福瑞达&瑷尔博士与聚美丽共同举办了皮肤微生态·首届美妆&皮肤科医生跨界大会,首次打破美妆行业和皮肤医学的次元壁;2021年,又合作了第二届《中国皮肤科学百人论坛》暨皮肤微生态大会;今年,再次联合主办第三届皮肤微生态大会。
同时,福瑞达&瑷尔博士作为国内企业代表,参与发起了《皮肤微生态与皮肤健康中国专家共识》的编写工作。这是国内首个皮肤医学界对皮肤微生态研究领域的专家共识,也是国内首个联动皮肤医学和化妆品行业在不同层面上交流、达成共识的文件。

△《皮肤微生态与皮肤健康中国专家共识》发布仪式
“建立一个完整的科研体系,是道阻且长的过程。而我们如何能够把这个平台、深度研发的各个点呈现给消费者,对我们来说也是难度不低的。”白天明说道。
不断夯实科研基础的同时, 瑷尔博士在C端也持续向消费者传达“微生态护肤”的理念,输出皮肤微生态的科普知识。
比如,携手天猫打造首个微生态动画小剧场,以熬夜场景切入,关注“熬夜肌肤微生态菌群变化”为主线,展开剧情化阐述。或者做深度吸引用户的内容,包括在知乎上举办圆桌论坛,发起“皮肤衰老的微语言”话题;拍摄多组关于益生菌发酵褐藻专利、微生态抗衰的科普片;并联合#天猫国货新势力#、央视网推出《奇妙的中国成分》纪录片,记录从种植原材料、建立研发生产基地的中国成分等。
瑷尔博士表示,“对于微生态护肤这样的新理念,大部分消费者还不太理解。因此,我们会关注微生态护肤到底能否让消费者对皮肤、生活、心理等问题有感同身受的理解。通过结合功能性和精神性的价值,让消费者对这一护肤理念产生更多认知。”
从瑷尔博士的定位:专研中国人皮肤微生态,能看出这个品牌是有情怀的。他们希望更了解中国人群的皮肤微生态情况,以及与各种皮肤类型、皮肤问题之间的相关性。并且,以这类研究为基础,研发更适合国内消费者使用的微生态护肤产品。
或许,正是这份情怀,还有贯穿皮肤源头研究到消费者端的科研与科学传播体系,是瑷尔博士成为新锐品牌中的“少数者”,一路持续增长的动力源泉吧。
视觉设计:乐乐
微信排版:高高
责任编辑:晓伊
—— “无尽的前沿”行业大会 ——
由“ 百植萃 ”冠名的2022聚美丽大会在杭州落下帷幕, 本次大会的主题为“无尽的前沿”,聚美丽认为下一个阶段的品牌竞争将会以研发科技驱动产品与营销的升级为主线。以下为本次大会的精彩内容:
「2022年度大会」:| 精彩图集 | 技术大跃进 | 新长征路上的珀莱雅 | 李远宏 | 何旺骁 | 三亩 | 董俊姿
「皮肤微生态大会」:5000字精华 | 方雯雯
「中国妆高峰论坛」:中国妆崛起 | 论坛概览 |
「了不起的国货新品」:共话国货未来 | 13个新品案例(上 ) (下) |
———— 南洋论坛预告 ————
两大院士、15+教授齐聚第三届中国皮肤科学百人论坛,9月再聚上海!上海交大日化中心携手聚美丽,邀您共商校企合作、成果转化大计。
·END·
看完不妨给个在看返回搜狐,查看更多

