星历更新异常期间Galileo卫星信号的特征分析
7月11日Galileo卫星广播星历出现异常状态,欧盟GNSS 服务中心发表伽利略卫星导航系统故障申明。据悉,UTC时间7月11日21:50(北京时间2019年7月12日05:50)Galileo系统广播星历停止更新。
图1 UTC时间2019年7月11日Galileo星历发播情况(引自公众号“监测评估中心”)
如图1所示,Galileo星历数据呈现间断性更新状态。其中,绿色表示星历更新,灰色表示星历未更新。
北京时间2019年7月11日,中国科学院国家授时中心利用昊平观测站40米大口径天线观测了多颗Galileo卫星,对星历异常状态下的E1信号进行了详细的分析,并与历史监测数据进行比对。结果显示,广播星历更新异常未对导航信号质量造成影响,Galileo卫星信号的频谱仍然符合要求。
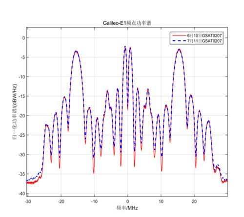
对故障前后GSAT0207卫星(PRN7)E1频点信号进行比对分析,如图2~图4所示,功率谱、星座图、时域波形均无明显差异,信号的波形特性、调制特性均未发生畸变。
图2 故障前后Galileo E1 频点功率谱对比

图3 故障前后Galileo E1频点星座图对比

图4 故障前后Galileo E1时域波形对比
对GSAT0207卫星E1B信号在星历更新异常状态与星历更新正常状态下的信号质量参数进行比对分析。如表1所示,故障前后各项参数差异微小,信号性能保持一致。
表1 不同星历更新状态下Galileo卫星E1B信号质量对比

对GSAT0205卫星E1B信号在星历停止更新与正常更新状态下的信号质量进行对比分析。如表2所示,Galileo中断服务后,0205卫星的信号质量未见明显差异,信号性能未见恶化。
表2 星历停止更新与正常更新状态下Galileo卫星E1B信号质量对比

从上面的分析可见,Galileo系统的异常与卫星的信号无关,只是广播星历的数据异常,仍然会导致导航定位的性能大幅下降。截至目前,Galileo系统尚未恢复正常。
网址:星历更新异常期间Galileo卫星信号的特征分析 https://m.mxgxt.com/news/view/1955699
相关内容
R&S发布可模拟GPS、Galileo及通讯矢量信号发生器卫星星历更新时间
北斗卫星广播星历及历书参数拟合算法研究
卫星星历是描述卫星运动轨道的信息,分为 星历和 星历
如何看明星面相分析当红明星的特征
养小鬼:迷信还是现实?持有者特征及明星实例分析
明星网络舆情话题的演化特征分析
星历误差校正/有关卫星星历及误差的认识
基于星间测距的分布式自主星历更新算法
哨叫声信号特征揭示海南中华白海豚的独特性
随便看看
- 揭秘范冰冰十大死对头,最后一个居然比思聪还强悍
- 卢伟冰为何几天不发微博?骁龙8+新手机竞争有了结果
- 顺其自然:何冰的10个人物关系∶ 1、搭档:崔志刚,56岁,1968年出生,影视演员 2、好友:陈道明,67岁,1955年出生,演艺界的老戏骨,两人同台飙戏,观众直呼过瘾。 3、同学:张嘉译,51岁,1970年出生,两人同窗苦读,如今在荧屏上各领风骚。 4、竞争对手:吴秀波,54岁,1968年出生,同样是实力派演员,戏里戏外都是一番较量。 5、师父:李雪健,68岁,1954年出生,何冰在演艺路上...
- 卢伟冰为何突然官宣“不怼”友商?红米10X发布会他将重点聊啥?
- 没完没了!卢伟冰蹭热度方式匪夷所思,又惹恼友商!

